Predicting Life Expectancy
Intro
The focus here is on EDA (Exploratory Data Analysis) and investigating the best choice for the \(\lambda\) hyperparameter for LASSO and Ridge Regression.
We will be working on the Life Expectancy CSV data obtained from WHO.
Peeking at Data
We begin by viewing the columns of the Life Expectancy Dataframe:
import seaborn as sns
import pandas as pd
import matplotlib.pyplot as plt
pd.options.display.float_format = '{:.2f}'.format
le_df = pd.read_csv("life_expectancy.csv")
le_df.columns
We can then view the range of our life expectancy values with a box plot:
sns.boxplot(x=le_df['Life expectancy '])
plt.show()

Life Expectancy Box Plot
From here we can glean
- the folks that died early at late 30’s, early 40’s;
- the minimum and maximum excluding these outliers (whiskers)
- the first and third Quartiles; and
- the mean (\(\mu\)) life expectancy
le_df.info()
Correlations
Then to produce a correlation matrix we would require exclusively continuous values. As such I have dropped those that are not:
le_df = le_df.drop(columns=['Country','Status'])
import numpy as np
corr_mat = le_df.corr()
mask = np.zeros_like(corr_mat, dtype=bool)
mask[np.triu_indices_from(mask)] = True
f, ax = plt.subplots(figsize=(20,19))
cmap=sns.diverging_palette(220,10, as_cmap=True)
sns.heatmap(corr_mat, mask=mask, cmap=cmap, vmax=.3, center=0,
square=True, linewidths=.5, cbar_kws={"shrink": .5})
plt.show()
Note: We only need to view the lower / upper triangular section of the matrix due to the symmetry.

Correlation Heatmap
Letting our libraries continue doing the heavy lifting for us:
sns.pairplot(le_df)
plt.show()

Correlation Pairplot
From here we learn that Adult Mortality is very negatively correlated with Life Expectancy (which makes sense). Also the 3 most positively correlated features with Life Expectancy are
- HIV/AIDS 0.753
- Income Comp of Resources 0.729
- Schooling 0.722
All of which are interesting in their own right.
Standard Scaling
Because we will be using regularised regression today and the penalties on weight will be affected by the magnitudes of the features we must first standardise our data:
from sklearn.preprocessing import StandardScaler
le_df_noNAN = le_df.dropna()
X = le_df_noNAN.drop(columns=["Life expectancy "])
y = le_df_noNAN["Life expectancy "].copy()
scaler = StandardScaler().fit(X)
scaled_X = scaler.transform(X)
print(f"Feature Means: {scaled_X.mean(axis=0)}")
print(f"Feature Variances: {scaled_X.var(axis=0)}")
Splitting Training and Test Data
Now we split the testing and training data
from sklearn.model_selection import train_test_split
X_train, X_test = train_test_split(X, test_size=0.2, random_state=73)
y_train, y_test = train_test_split(y, test_size=0.2, random_state=73)
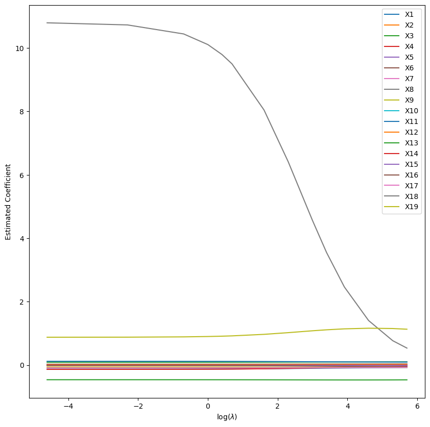
Empiricism on Lambda (Ridge)
And start training a Ridge regression with varying values of the hyperparameter lambda:
%%time
import warnings
warnings.filterwarnings("ignore")
from sklearn.linear_model import Ridge
lambdas = [0.01, 0.1, 0.5, 1, 1.5, 2, 5, 10, 20, 30, 50, 100, 200, 300]
N = len(lambdas)
coefs_mat = np.zeros((X_train.shape[1], N))
for i in range(N):
L = lambdas[i]
ridge_lm = Ridge(alpha=L).fit(X_train, y_train)
coefs_mat[:,i] = ridge_lm.coef_
plt.figure(figsize=(10,10))
for i in range(X_train.shape[1]):
lab = "X" + str(i + 1)
plt.plot(np.log(lambdas), coefs_mat[i], label=lab)
plt.legend()
plt.xlabel(r"log($\lambda$)")
plt.ylabel("Estimated Coefficient")
plt.show()

Ridge Regression Coefficients vs Lambda
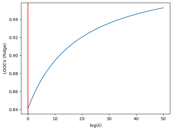
We then find the best Lambda:
%%time
lambdas = np.arange(0,50.1,step=0.1)
n = X_train.shape[0]
N = lambdas.shape[0]
CV_score = np.zeros(N)
curIdx = 0
#X_train = X_train.to_numpy()
#y_train = y_train.to_numpy()
for L in lambdas:
sq_errs = 0.
for i in range(100):
x_i = X_train[i]
x_removed_i = np.delete(X_train, i, axis=0)
y_i = y_train[i]
y_removed_i = np.delete(y_train, i, axis=0)
mod = Ridge(alpha=L).fit(x_removed_i, y_removed_i)
sq_errs += (mod.predict(x_i.reshape(1,-1))-y_i)**2
CV_score[curIdx] = sq_errs/n
curIdx += 1
min_idx = np.argmin(CV_score)
plt.plot(lambdas, CV_score)
plt.xlabel(r"log($\lambda$)")
plt.ylabel("LOOCV (Ridge)")
plt.axvline(x=lambdas[min_idx], color='red')
plt.annotate(f"$\lambda = {lambdas[min_idx]}$", xy=(25,1800))
plt.show()

Ridge Regression Optimal Lambda
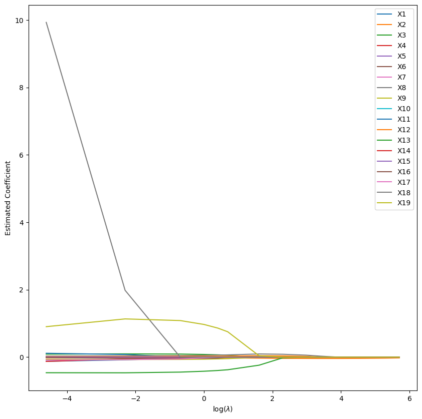
Empiricism on Lambda (LASSO)
We then repeat for our L1 regularisation model:
from sklearn.linear_model import Lasso
lambdas = [0.01, 0.1, 0.5, 1, 1.5, 2, 5, 10, 20, 30, 50, 100, 200, 300]
N = len(lambdas)
coefs_mat = np.zeros((X_train.shape[1], N))
for i in range(N):
L = lambdas[i]
ridge_lm = Lasso(alpha=L).fit(X_train, y_train)
coefs_mat[:,i] = ridge_lm.coef_
plt.figure(figsize=(10,10))
for i in range(X_train.shape[1]):
lab = "X" + str(i + 1)
plt.plot(np.log(lambdas), coefs_mat[i], label=lab)
plt.legend()
plt.xlabel(r"log($\lambda$)")
plt.ylabel("Estimated Coefficient")
plt.show()

Lasso Regression Coefficients vs Lambda
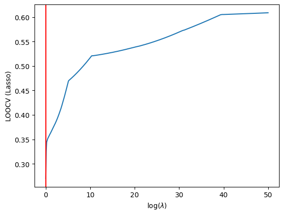
Thus we find the optimal lambda to be…
%%time
lambdas = np.arange(0,50.1,step=0.1)
n = X_train.shape[0]
N = lambdas.shape[0]
CV_score = np.zeros(N)
curIdx = 0
#X_train = X_train.to_numpy()
#y_train = y_train.to_numpy()
for L in lambdas:
sq_errs = 0.
for i in range(20): #note we are not going to N
x_i = X_train[i]
x_removed_i = np.delete(X_train, i, axis=0)
y_i = y_train[i]
y_removed_i = np.delete(y_train, i, axis=0)
mod = Lasso(alpha=L).fit(x_removed_i, y_removed_i)
sq_errs += (mod.predict(x_i.reshape(1,-1))-y_i)**2
CV_score[curIdx] = sq_errs/n
curIdx += 1
min_idx = np.argmin(CV_score)
plt.plot(lambdas, CV_score)
plt.xlabel(r"log($\lambda$)")
plt.ylabel("LOOCV (Lasso)")
plt.axvline(x=lambdas[min_idx], color='red')
plt.annotate(f"$\lambda = {lambdas[min_idx]}$", xy=(25,1800))
plt.show()

Lasso Regression Optimal Lambda
Results
It seems that in both situations we have fucked up. The LASSO and Ridge hyperparameters are being found to be 0. A quick fitting of the traning data to sklearn’s LassoCV model may help clear some confusion:
from sklearn.linear_model import LassoCV
from sklearn.metrics import mean_squared_error
m_lassoCV = LassoCV(cv=5).fit(X_train, y_train)
ypred_train_lassoCV = m_lassoCV.predict(X_train)
ypred_test_lassoCV = m_lassoCV.predict(X_test)
print(f"Mean Squared Error (TRAIN): {mean_squared_error(y_train,ypred_train_lassoCV)}")
print(f"Mean Squared Error (TEST) : {mean_squared_error(y_test, ypred_test_lassoCV)}")
print(f"With Lambda as {m_lassoCV.get_params()}")
Conclusion
The above shows that our analysis was not incorrect in attempting to determine the most optimal \(\lambda\)s, but rather a mistake has occurred in the preprocessing step causing the statistical signifance of my data to become muddled. In a later refactoring I may come back and improve my preprocessing, or abandon it completely in favour of a more homogenous dataset.
from sklearn.metrics import r2_score
print(f'Train Accuracy: {r2_score(ypred_train_lassoCV, y_train)}')
print(f'Test Accuracy: {r2_score(ypred_test_lassoCV, y_test)}')
Backlinks (2)
1. Wiki /wiki/
Knowledge is a paradox. The more one understand, the more one realises the vastness of his ignorance.
2. Machine Learning /wiki/ml/
Type 1 error